近日,课题组在磁悬浮轴承时滞效应领域相关工作以“Nonlinear modeling and analysis of an AMB-rotor system with time delay”为题发表于期刊《Mechanical Systems and Signal Processing》。课题组金超武教授为本文通讯作者,硕士生董琦为本文第一作者,高俊硕士、赵亚正博士、曾俊豪硕士、周瑾教授分别位列第三至第六作者。南京航空航天大学为第一单位。
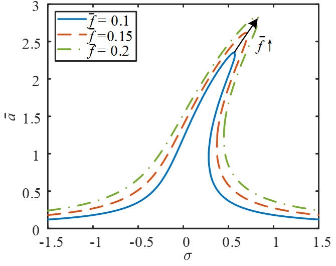
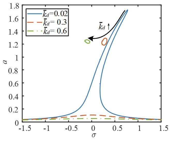
在磁悬浮轴承转子系统中,时滞的存在不可避免。当前,磁悬浮旋转机械正朝更高转速、更大功率及更复杂工作环境的方向迈进,在此趋势下,时滞极易引发复杂的非线性动力学现象,进而导致系统失稳甚至设备损坏。然而,现有考虑时滞效应的磁悬浮轴承转子系统模型通常忽略了由电压饱和、铁损以及信号处理等多重因素导致的时滞。此外,传统的求解方法往往掩盖了时滞参数与非线性动态响应之间直接的解析关系。针对这些局限性,该论文提出了一种综合考虑由控制器、电压饱和、铁损以及信号传输与处理引起的时滞的磁悬浮轴承转子动力学模型。在此基础上,该论文采用多尺度法对考虑时滞效应的磁悬浮轴承转子系统的非线性动力学特性进行分析。研究结果表明,增加时间延迟会引发刚度软化效应,从而放大振动幅度。相反,适度增加控制系统的比例增益和微分增益,能够有效抑制时滞效应影响下的转子振幅,并改变系统的等效刚度特性。为验证理论与仿真结果,该论文对时滞影响下的非线性特性进行了实验验证,为控制参数的优化提供了有价值的指导。

图1 磁悬浮转子系统实验平台


(a) 时滞量 (b) 不平衡力幅值


(c) 比例增益 (b) 微分增益
图2 不同参数对幅频特性的影响
论文链接:Nonlinear modeling and analysis of an AMB-rotor system with time delay