近日,课题组在传感器领域相关工作以“Modeling of axial self-inductive displacement sensor considering fringing effects and eddy current effects”为题目发表于期刊《Review of Scientific Instruments》。课题组周瑾教授为本文的通讯作者,硕士研究生唐洪洲为本文的第一作者,金超武副教授、徐园平副教授分别为本文的第三、四作者,南京航空航天大学为第一单位。
转子轴向位移是反映转子系统及旋转机械设备运转状态的关键技术指标,是转子系统安全监测及系统特性研究中常用的监测量,在磁悬浮轴承、精密机床和智能轴承等领域的系统控制中起关键作用。转子轴向位移的检测通常采用电涡流传感器、光学传感器、霍尔传感器和轴向电感式位移传感器。与其他传感器相比,轴向自感位移传感器具有线性度好、抗干扰能力强、安装简单、成本低等优点,具有广阔的应用前景。
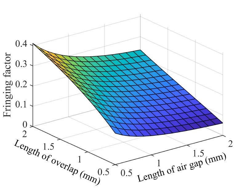
轴向自感式位移传感器的设计与分析大多基于传统理想模型,该模型忽略了边缘效应和涡流效应的影响,导致理论分析与实验结果相差较大。为此,本文提出引入边缘因子和复磁导率来考虑边缘效应和涡流效应的影响,建立了一个改进的线圈阻抗模型。并通过实验验证了该模型的正确性与准确性,结果表明,改进模型对传感器输出电压的预测与实验结果吻合度高,且能够利用该模型分析气隙长度、激励频率等设计参数对传感器灵敏度的影响。因此,该模型对于轴向自感式位移传感器的设计、分析与应用具有重要的参考价值。




论文链接:https://pubs.aip.org/aip/rsi/article/94/12/125001/2925406/Modeling-of-axial-self-inductive-displacement