近日,课题组在抗磁悬浮加速度检测领域相关工作以“An ultra-sensitive diamagnetic levitation accelerometer with quasi-zero-stiffness structure”为题目发表于期刊《Measurement》。课题组徐园平副教授为本文的通讯作者,博士生汪阳为本文的第一作者,周瑾教授、金超武教授分别为本文的第三、五作者,法国国立应用科学学院(INSA Lyon)Jarir Mahfoud教授为本文的第四作者,南京航空航天大学为第一单位。
高精度加速度计具有极高的灵敏度和极小的工作噪声,已经被广泛应用于地震波监测、微重力场测量、引力波探测等领域。而抗磁悬浮技术具有低刚度、被动稳定悬浮的特点,在高灵敏度、低能耗加速度计研制方面具有极大的应用前景。本文首次将准零刚度(QZS)结构应用于抗磁悬浮加速度计,极大地提高了抗磁悬浮加速度计的灵敏度。

图1 QZS抗磁悬浮加速度计结构示意图及敏感元件上下层载荷特性
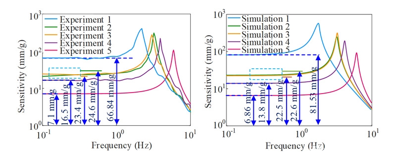
本文的抗磁悬浮加速度计主要由抗磁性敏感元件和永磁体阵列组成,当受到沿着加速度计径向方向的振动时,敏感元件在惯性作用下将沿着径向振动,通过光学位移检测方法检测准零刚度特性下的敏感元件相对位移即可获取加速度信号。其中,敏感元件由双层堆叠结构的热解石墨构成。这种结构使得上下石墨层在永磁体定子产生的波浪形磁势阱中具有不同的力学特性。通过精细调节敏感元件的形状参数,可以确保下层石墨层在正磁刚度作用下保持被动稳定悬浮。同时,上层石墨层会受到负磁刚度作用,从而构成具有QZS特性的抗磁悬浮敏感元件。在此基础上,系统性地研究了具有QZS结构的加速度计的静态悬浮特性和动态响应,重点分析了敏感元件的形状参数、悬浮高度以及永磁体阵列的磁化参数等影响因素。随后的理论和实验结果表明,通过优化QZS结构,进一步调节永磁体阵列的磁化参数和敏感元件的悬浮高度,可以较为容易构建出理想的QZS特性。该设计极大地提高了抗磁悬浮加速度计的灵敏度,获得了66.84 mm/g的超高灵敏度,远高于传统抗磁悬浮加速度计(无QZS结构)的9倍,是目前已报道的最佳数据之一。本文首次提出并验证了基于QZS结构的超敏感抗磁悬浮加速度计,展示了通过调节敏感组件结构来提升灵敏度的可行性,为高性能抗磁悬浮加速度计的开发提供了新的思路和方法。

图2 QZS抗磁悬浮加速度计静态抗磁力-位移曲线
图3 QZS抗磁悬浮加速度计频响曲线
论文链接:https://www.sciencedirect.com/science/article/abs/pii/S0263224125000107
2025Measurement.pdf