近日,课题组在转子动力学与振动控制领域的重要研究成果,以题为《考虑装配误差与温度场共同作用的多级转子最优装配相位求解》的论文,发表在国内T1级别期刊《振动工程学报》上。本文由徐园平副教授担任通讯作者,姜智强硕士为第一作者,赵亚正博士、周瑾教授、郭铭杰硕士分别位列第三至第五作者。南京航空航天大学为第一完成单位。
多级转子作为航空发动机、燃气轮机等高端旋转机械的核心部件,其装配精度与运行稳定性直接决定整机性能。在实际工况中,制造误差的累积、装配过程的偏差,以及非均匀温度场引发的热变形,会共同导致转子不同心度与不平衡量发生变化,进而加剧振动响应,尤其是在临界转速区间,振动超标可能引发部件磨损、寿命缩短甚至安全事故。传统研究多单独考量装配误差或温度场的影响,忽略二者协同作用,且缺乏针对“临界转速安全通过”与“高转速振动抑制”的综合优化方案,难以满足复杂工况下的运行要求。
为破解这一难题,该论文构建了考虑装配误差与非均匀温度场共同作用的多级转子动力学模型。通过坐标变换与最小二乘拟合方法,精准量化了装配误差在多级转子中的传递规律,推导得出不同心度与不平衡量的空间分布函数;同时结合热-结构耦合分析,建立了温度场修正的刚度矩阵模型,揭示了热变形随转速升高逐渐衰减的特性,最终将转子振动激励分解为不同心度、质量不平衡与热变形三个关键分量,为后续优化奠定基础。
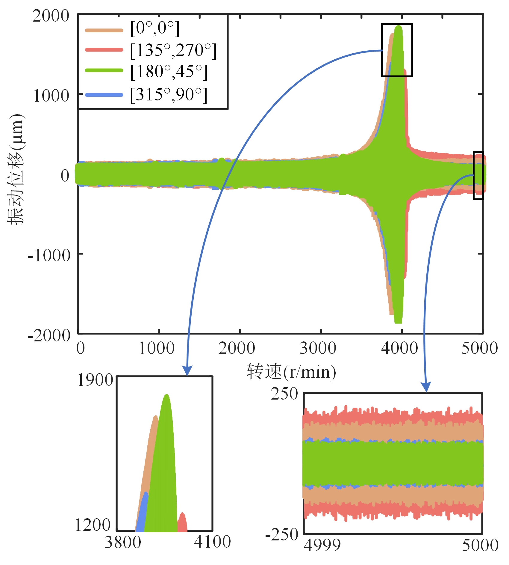
在优化策略层面,研究针对转子“升速过程临界转速风险”与“稳态高转速振动”两大核心需求,提出基于粒子群算法(PSO)的装配相位寻优方案,设置三类目标函数:优化目标1:单独最小化一阶临界转速振幅、优化目标2:单独最小化5000r/min稳态振幅,以及优化目标3:综合权衡两类振幅的多目标优化。仿真结果表明,单一目标优化会导致另一工况振动恶化(如临界转速优化后高转速振幅增加21.82%,高转速优化后临界转速振幅增加8.14%),而多目标优化方案可实现双向抑制,即相比初始装配相位,一阶临界转速振幅降低20.11%,5000r/min振幅降低34.71%,有效平衡了安全性与稳定性。
为验证方法有效性,团队搭建了非均匀温度场转子升速试验平台,通过温度控制箱模拟转子停机后温度梯度,结合电涡流位移传感器采集振动数据。实验结果与仿真高度吻合:采用最优装配相位(θz1=315°,θz2=90°)后,转子一阶临界转速振幅实际降低20.53%,5000r/min振幅降低46.37%,成功实现全速域稳定运行,验证了模型与优化算法的可靠性。

图1 非均匀温度场升速试验装置图

图2 不同装配相位中一阶临界转速与5000r/min对应幅值图
论文链接:待更新。